2021年全軍面向社會公開招考文職人員網(wǎng)上報(bào)名有關(guān)情況
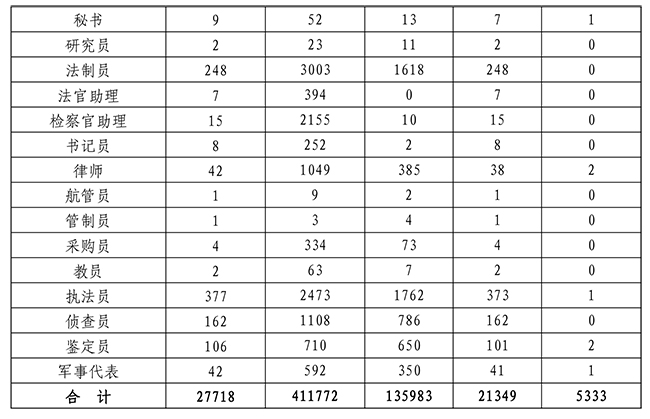
2021年全軍面向社會公開招考文職人員(不含先面試后筆試崗位)報(bào)名時段已經(jīng)結(jié)束,截至4月13日18時,有547755人報(bào)考,其中411772名報(bào)考人員通過網(wǎng)上報(bào)名資格條件初審,平均報(bào)招比為19.3∶1,最高報(bào)招比為1103∶1。4月13日18:00至15日18:00期間,招考單位繼續(xù)對已提交審核的報(bào)考人員進(jìn)行報(bào)名資格條件初審,因證明材料不全未通過審核的報(bào)考人員可補(bǔ)充材料繼續(xù)報(bào)考該崗位。繳費(fèi)時間為4月16日8:00至18日18:00,通過報(bào)名資格條件初審的報(bào)考人員在此期間辦理繳費(fèi)手續(xù)和選擇考試城市,打印報(bào)名回執(zhí)后方為報(bào)名成功。相關(guān)崗位報(bào)考情況如下:
1.截至4月13日18時各省份崗位報(bào)考情況統(tǒng)計(jì)表

2.截至4月13日18時各崗位類別報(bào)考情況統(tǒng)計(jì)表


3.截至4月13日18時熱門崗位報(bào)考情況統(tǒng)計(jì)表


來源:http://81rc.81.cn/news/2021-04/13/content_10021340.htm


